相信很多朋友都遇到过以下问题,就是MathType输入字母上方的黑点的简单方法。针对这个问题,今天扒房网小编就搜集了网上的相关信息,给大家做个MathType输入字母上方的黑点的简单方法的解答。希望看完这个教程之后能够解决大家MathType输入字母上方的黑点的简单方法的相关问题。
亲们想知道MathType如何输入字母上方的黑点的操作吗?下面就是小编整理MathType输入字母上方的黑点的简单方法,赶紧来看看吧,希望能帮助到大家哦!
MathType输入字母上方的黑点的简单方法
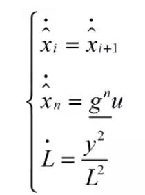
例如输入下面的方程组:

输入x的相关操作如下:
1.打开MathType软件,在括号模板中选择左边大括号,在上标与下标模板中选择中上标模板。

2.将光标放在上标处,在运算符符号中选择合适的黑点来输入。

3.将光标放在下部,在顶线与底线模板中选择帽子模板,输入x。

4.将光标移到x外面,选择下标模板,输入下标i,至此方程中的x数学样式编辑完成。

提示:此时若用键盘输入黑点,这个黑点是非常小的,公式保存后基本看不出来,所以一般不用键盘输入黑点。
以上这里为各位我来教你了MathType输入字母上方的黑点的简单教程。有需要的朋友赶快来看看本篇文章吧。