相信很多朋友都遇到过以下问题,就是MathType标记公式的详细教程。针对这个问题,今天扒房网小编就搜集了网上的相关信息,给大家做个MathType标记公式的详细教程的解答。希望看完这个教程之后能够解决大家MathType标记公式的详细教程的相关问题。
各位使用MathType的同学们,你们知道怎么标记公式吗?在这篇教程内小编就为各位呈现了MathType标记公式的详细教程。
MathType标记公式的详细教程
MathType中有圆括号、方括号和箭头等其它模板,利用这些模板可以轻松完成这个标记任务。
比如展示一个介绍一个函数规则:

可以探索MathType的每个模板看看它们都是做什么的,在你标记公式的时候是不是能够用得上这些模板,在标记模板这个方面有4个模板
是最经常用到的。一个是MathType分隔符模板底部的水平括号模板。要创建如上图所示的公式,只需要从中选择其中一个模板进行编辑就行了。注意切换成文本模式输入标记文字。你也可以在创建公式之前或者之后改变公式的颜色。

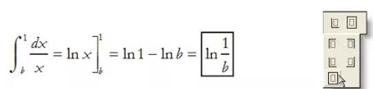
MathType标记公式的另外一些常用模板,这些样式都能用MathType来实现:
1.方框。使用MathType框模板中全框模板。

2.箭头标记。使用MathType箭头模板中的带上部和下部的文字输入框箭头模板。

上面就是小编为大家带来的使用MathType标记公式的详细教程,一起来学习学习吧。相信是可以帮助到一些新用户的。