用户平时写论文的时候,特别是理科类的论文,会用到很多的图表。而当图表中要用到复杂公式的时候,往往需要用到matlab公式编辑器。它简单易用,能帮助用户处理复杂的公式。在这里,为大家我来教你下matlab公式编辑器使用小技巧,让用户的论文变得更优秀。
matlab公式编辑器使用小技巧
如何进入下一行
1、首先,用户需要打开matlab公式编辑器。点击编辑器主界面左上角的“程序编辑窗口”,以调用函数文件。

2、然后用户手动编写一个函数。这里,本人以常用的一个较为简单的函数为例。用户将函数编写完整以后,复制如下图的函数代码,再点击matlab公式编辑器功能属性栏的“保存”按钮对函数进行有效保存。

3、操作到这一步时,matlab公式编辑器使用有个小技巧。那就是将上一步所复制的函数代码粘贴到matlab公式编辑器的命令窗口。将相关的代码参数改为需要参与运算的数值,例如,这里取x=1,y=1,然后只要按键盘上的Enter键。这时,用户可以发现输入公式时就进入下一行了。

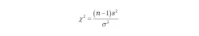
输出公式格式

比如用户想要输出如上图的公式格式,就需要使用到matlab公式编辑器中的Latex编译器参数来共同编写该公式的代码。

使用matlab公式编辑器编写公式代码的过程中,用户还要注意两个小技巧:
1、确保输入正确的公式,并且必须按照符号特定的格式将代码输入。并且同时使用matlab公式编辑器特定的$$将用户建立的公式包围起来。

2、明确使用matlab公式编译器内的参数。

matlab公式编辑器使用的小技巧还有很多。它语句简单,并不像某些高级语言般拒人于千里之外。于新用户而言,均能轻易掌握,做出排版优美的图表公式。想了解更多精彩教程资讯,请请关注www.bafang18.com(扒房网)。